| Home | Light
Version Normal Version |
Search | BBS | Guest Book | Site Map | Help | Contact us | About us |
|
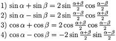
5. Summarizing the formulasThe key to verifying identities is very good formula usage. Besides good memorization and understanding of all formulas, we need to summarize the actions of formulas. In our minds, we must clearly know what we can do, what we can't do. For examples, we have four Sum-to-Product formulas:
What characteristics do the formulas have? We see that any sum
can become a product, if the functions of two angles are the same,
(both are sines or cosines)
and with the same coefficients 1. The questions are: can we
make a sum into a product, if (1) the functions of two angles
are not the same, for example: The answer of first question is yes. In fact, we can use the Derived
formula
which reaches the goal from sum to product. The answer of second question is yes. We have
After factoring the same coefficient, the form in parentheses is exactly the form of the Sum to Product formulas. By using formulas, we have realized the goal of sum to product. |
|||
![]() |

Questions? Comments? Contact
us.
© Copyright 1998 LWR, ThinkQuest team
17119. All rights reserved.