Home Normal Version
IE Version
Search | BBS | Guest Book | Site Map | Help | Contact us | About us
Light version

[Index]

   Introduction
   Essence
   Memorizing
   Understanding
   Summarizing
   Examples

Example 1
Example 2
Example 3
Example 4
Example 5
Example 6
Example 7
Example 8
General ideas

   Exercises
   Final thoughts
      Page 1 | Proof(s)

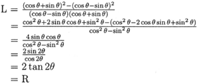
Proof of example 1:

6_1101.gif (3609 bytes)

6_1p01.gif (10529 bytes)

                                                                                                                                                                                                                                                                                                                                                                                                                                                                                   

     
  

Previous | Top | Next

  

LWR
Questions? Comments? Contact us.
© Copyright 1998 LWR, ThinkQuest team 17119. All rights reserved.